Order Forms & Technical Information
E•Z Interactive Order Forms
WalzCraft’s Printable E•Z Interactive Order Form includes order forms for all products, as well as the option to save, print, and email the forms. Click the link below to begin downloading the compressed (zipped) folder that contains our Order Form. Our Interactive Order Forms don’t work on Tablets/iPads, because they require Adobe Acrobat Reader DC for Windows/Mac.
Note: Our company is structured to sell only on a wholesale basis to professional Cabinet Makers, Cabinet Refacers, Contractors, Building & Home Improvement Centers & Lumberyards. If you are not a WalzCraft customer, please go to our Request a Catalog page to review our options.
View instructions on how to download and open the zipped folder.
Adobe Acrobat Reader DC is required to access and use the order forms.
See the Order Form Help & FAQ PDF for more information.
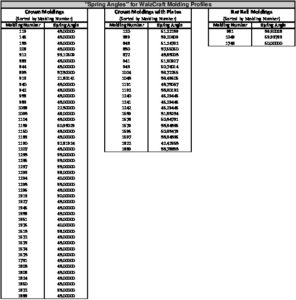
Types of Technical Information
- Curved Product Radii Options
- Profile Reveals
- Cross Reference Charts
- Digital Catalog Download Instructions
- Option Availability
- Hinge Boring
- Outside Edges
Files Available for Download
Files Available for Download
Files Available for Download
Wood Industry Tools & Information
The files below contain helpful information pertaining to the Wood Industry and are provided for your convenience.






